El objetivo de estas líneas es presentar los posibles efectos que tal medida de política económica puede tener sobre los diferentes niveles de ingreso (alto, medio y bajo), a partir de la encuesta de ingresos y gastos como del análisis de las ponderaciones de la canasta básica familiar. Las bases de datos corresponden a las publicadas por el DANE en su página web.
Ley de financiamiento y reforma tributaria
Antes de entrar en materia es necesario señalar el principal matiz entre una reforma tributaria y una ley de financiamiento. La reforma tributaria casi siempre se presenta separada de la discusión de la ley por la cual se decreta el presupuesto de rentas y recursos de capital y ley de apropiaciones del Gobierno nacional y los Establecimientos públicos nacionales; mientras que la ley de financiamiento en buena medida se encuentra en el marco de esa discusión.
Un ejemplo que nos sirve para ilustrar lo anterior, es el de la Ley 1739 de 2014 “por medio de la cual se modifica el estatuto tributario, la ley 1607 de 2012, se crean mecanismos de lucha contra la evasión, y se dictan otras disposiciones”. Esta ley se presentó en medio del debate del Proyecto de Presupuesto de 2015, exactamente el 3 de octubre de 2014, y en su exposición de motivos se señaló:
“Si se compara la composición del ingreso del PGN 2014 con las proyectadas para 2015, se hace evidente que la desaparición de los recaudos provenientes del impuesto al patrimonio y de dos puntos en la tarifa del GMF hace inferior el recaudo esperado para 2015 frente al programado para el año 2014. Tal efecto, aunado a la reducción de la renta petrolera, consolida una necesidad total de ingresos que asciende a $12,5 billones para 2015…
Por otra parte, como se mencionó anteriormente, el PGN asciende a $216,2 billones e incluye gastos prioritarios que contribuirán al cumplimiento de las metas del Gobierno. Por esta razón, es necesario compensar la caída en los recaudos y conseguir los recursos requeridos por la Regla Fiscal. [subrayado fuera de texto]
De conformidad con lo estipulado en el artículo 347 de la Constitución Política: “Si los ingresos legalmente autorizados no fueren suficientes para atender los gastos proyectados, el Gobierno propondrá, por separado, ante las mismas comisiones que estudian el proyecto de ley del presupuesto, la creación de nuevas rentas o la modificación de las existentes para financiar el monto de gastos contemplados”.
Lo anterior significa que se hace necesario apelar a la modificación de las rentas existentes y crear otra nueva para balancear el presupuesto de la vigencia fiscal 2015 y alcanzar la meta de déficit estructural contenida en la Ley de Regla Fiscal…” (Exposición de Motivos).
Cabe recordar que esta ley de financiamiento (Ley 1739 de 2014 “Por medio de la cual se modifica el Estatuto Tributario, la Ley 1607 de 2012, se crean mecanismos de lucha contra la evasión y se dictan otras disposiciones”) fue demandada por los ciudadanos Iván Duque Márquez, Ernesto Macías Tovar, Fernando Araujo Rumié, Pierre Eugenio García, y Alfredo Ramos Maya. Uno de los argumentos, demandados era que con esa ley se obtendrían mas recursos a los señalados como faltantes, a lo cual la Corte Constitucional les señaló en la Sentencia C-015/16:
“Así pues, los impuestos y contribuciones se encuentran autorizados en leyes distintas a la ley anual de presupuesto en la que ya no se precisa confirmarlos periódicamente; ello explica por qué la Constitución se refiere a la aprobación del presupuesto en un capítulo distinto a aquel en el que se consigna el principio de legalidad tributaria, plasmado hoy en el artículo 338 superior, y explica, además, por qué a diferencia del presupuesto de gastos, el de ingresos no contiene una autorización sino apenas una estimación o cálculo anual, fenómeno doctrinariamente conocido como “bifurcación del principio de legalidad financiera” y del cual ya ha dado cuenta esta Corte, al apuntar que el presupuesto de ingresos es un estimativo, mientras que “el presupuesto de gastos o ley de apropiaciones, constituye no sólo un estimativo sino también una autorización…”.
De manera que la Corte Constitucional en oportunidades anteriores, ha sostenido que el presupuesto de rentas no contiene una autorización sino apenas una estimación o cálculo anual a diferencia de la ley de apropiaciones la cual, si la contiene. Diferenciación que permitiría concluir que al tratarse de ingresos no se aplica la misma restricción en cuantía y tiempo, característica de los gastos públicos.
En ese entendido, la expresión “para financiar el monto de los gastos contemplados” contenida en el artículo 347 Superior permite concluir que si bien éste es el principal propósito de una ley de financiamiento no es el único. Al respecto, advierte esta Sala que en oportunidades anteriores, los Gobiernos han acudido a este tipo de leyes para financiar el Presupuesto General de la Nación y en las mismas se han consagrado tributos con efectos en vigencias posteriores a la que se crean”.
Este es el aspecto que el excongresista Iván Duque aprendió y, por ello, lanzó la señal que el Proyecto de Presupuesto del 2019 esta desfinanciado en cerca de $25 billones, e indicó la necesidad de nuevos recursos para cubrirlo. Es decir, la necesidad de cambiar el Estatuto Tributario en cualquiera de las siguientes vías: creación de nuevos impuestos, cambio en las tarifas o en las bases gravables de los impuestos ya existentes; aspectos que también pueden ser introducidos en una reforma tributaria.
El gravamen a la canasta básica
En este aparte se trabaja con la Encuesta de ingresos y gastos del DANE como con la canasta básica mediante la cual el DANE elabora el índice de precios al consumidor. A partir de esta información es importante resaltar los siguientes elementos a efecto de analizar y aproximarse a la propuesta del punto de la reforma fiscal referida a la canasta familiar.
El nivel de gasto de los bienes y servicios que componen la canasta familiar difiere entre los diferentes grupos de ingreso. En el nivel bajo de ingresos, se gasta en alimentos el 34.66%, mientras que en los altos niveles de ingresos este valor es del 18,24%. El nivel medio gasta más en vivienda que el alto y el bajo. Los gastos en educación y salud son superiores en los altos ingreso (Cuadro 1).

De igual manera, más del 75% del consumo de los hogares de bajos ingresos se realiza en los rubros de alimentación (34.66%), vivienda (29.74%) y transporte (11.03%).
Así mismo, el nivel de gasto mensual de los hogares en alimentos es de menos de un salario mínimo (SM), 67.70%. Esta proporción es mucho mayor en la parte rural (81.58%). Tan sólo el 6% de los hogares tiene un nivel de gasto en alimentos superior a 2 SM. En el área rural este porcentaje es de 1.6% (Cuadro 2).

Suponiendo que ningún bien de la canasta familiar se encuentra gravada, y utilizando la canasta básica para encontrar la ponderación de cada uno de los estratos (alto, medio y bajo) en la canasta familiar; y con estos valores distribuir el gasto mensual por hogar, de acuerdo con la clasificación del gasto (división) de la encuesta de ingresos y gastos del DANE (Cuadro 3), se concluye que el recaudo ascendería a $4.2 billones, de los cuales el 55% se recaudaría en las familias de ingreso medio, el 31% en los hogares pobres y el 14% en las familias de altos ingresos.

Ahora bien, si el monto recaudado, por concepto del impuesto al valor agregado (IVA), a partir de los consumos realizados por cada uno de los niveles de ingreso (alto, medio y bajo) de su respectiva canasta familiar, se relaciona con su ingreso, el peso específico para cada nivel de ingreso sería del 5%; 39%; y, 66%, respectivamente. En el caso de las familias de menores ingresos, el monto pagado por todas ellas por el IVA ($1.3 billones), se corresponde a su gasto en alimentación y la mitad de los que gastan en transporte.
Con base en lo anterior, se puede afirmar que la propuesta de gravar toda la canasta familiar es altamente regresiva, al desmejorar el nivel de bienestar de las familias de ingresos bajos y medios; aspecto que se podría enmendar si hubiese una garantía total de la supuesta devolución de los 1,3 billones de pesos recaudados por IVA que pagarían las familias pobres. A pesar de lo anterior, el golpe tributario sigue siendo regresivo al descansar la medida sobre la clase media.
Ahora bien, hay un aspecto que es necesario tener presente, respecto a gravar la canasta familiar con el impuesto al valor agregado (Cuadro 4):

- A la fecha, el 52.5% de los bienes y servicios de la canasta básica se gravan a la tarifa del 19%; el 6.6% a la del 5%; y, el restante 40.9% al 0% o se encuentran exentos;
- De los 107 rubros que se encuentran gravados, el 89% tienen una tarifa del 19% y, el restante, 11% al 5%;
- Los 95 bienes gravados al 19%, el 26% se encuentran en el grupo de vivienda, el 22% en el de vestuario; y el 15% en alimentos;
- Los 12 ítems gravados al 5%, el 58% se concentran en el grupo de alimentos;
De los 56 rubros del grupo de alimentos el 25% se gravan al 19%, el 13% al 5%, el restante 62% al 0% o exentos. Es en este ítem donde mayor se puede sentir la propuesta fiscalista de subir las tarifas a todos los bienes de la canasta familiar, por lo que representa desde el punto de vista del bienestar social para las familias de ingreso medio y bajo. En otras palabras, la propuesta del Gobierno nacional profundizará la regresividad del sistema tributario colombiano.
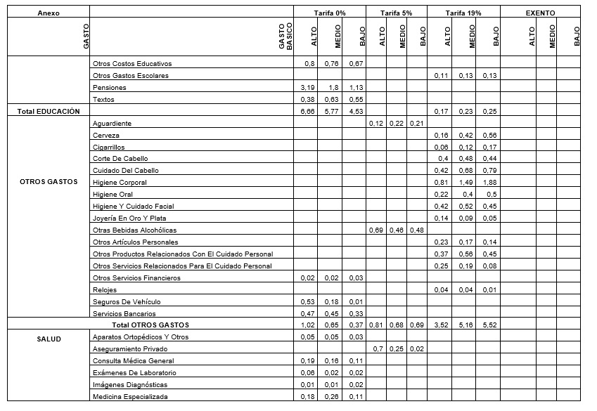
Si se calcula el peso específico de cada uno de los 181 bienes y servicios que conforman la canasta básica del DANE (Anexo), para cada uno de los niveles de ingreso (alto, medio y bajo) gravados a las diferentes tarifas, se tiene que (Cuadro 5):

- Los bienes y servicios consumidos por cada uno de los niveles de ingreso, gravados a la tarifa del 0%, pesan en sus respectivas canastas el 51.3%, 57,6% y 60.1%;
- Los bienes y servicios gravados a la tarifa del 5%, representan de su canasta el 2.98%, 3.01% y 3.36%, respectivamente;
- Los rubros de la canasta gravados a la tarifa del 19%, representan, respectivamente, el 40.93%, 31.91% y 26.46%, de su canasta;
- Como se sabe, en el Impuesto al Valor Agregado, existen un conjunto de bienes que se gravan a una tarifa de 0% con derecho a compensación y devolución (exentos), si se utilizan como materia prima en alguno de los procesos productivos, y que en este caso aparecen en la canasta familiar. Este conjunto de bienes exentos, representan el 4.82%, 7.56% y 10.06%, de las respectivas canastas.
En suma…
Si bien el gobierno del Presidente Duque propone devolverles el IVA a las familias pobres, el problema de caja que se les crea es muy grande además de resultar bastante incierta e improbable su devolución.
Si de lo que se trata es de tener un sistema fiscal más justo, existen otros mecanismos como lo es el impuesto al patrimonio, a la tierra, a los dividendos, a las herencias, tarifas progresivas fuertes para empresas y personas naturales, entre otros.
La medida de gravar la canasta familiar se debe calificar de fiscalista y regresiva además de no buscar arreglar los problemas estructurales de nuestro sistema tributario, pues gravar toda la canasta familiar, desconociendo los porcentajes actuales y sus tarifas, es contribuir a desmejorar aún más el bienestar de las familias de ingreso medio y bajo, en lo fundamental.
Los congresistas y la sociedad civil que promulgan por una sociedad más justa y un sistema tributario más equitativo deben oponerse a esta medida debido a los problemas de justicia social que la misma tiene, además de reconocerse la incapacidad técnica y política del gobierno nacional para garantizar la devolución del IVA a las familias pobres.
Cabe recordar que el Gobierno nacional ha mostrado su incapacidad de manejar un elemento básico del impuesto al valor agregado, el uso de tarifas diferenciadas para productos claramente diferentes, por la carga administrativa que esto le conlleva, y ahora quiere promover la idea de ser capaz de devolverle el IVA a las familias pobres.
El Gobierno nacional tiene un problema de caja, que ellos calculan en cerca de 25 billones de pesos y el mecanismo más expedito y regresivo para tapar ese “hueco fiscal” es a través del Impuesto al Valor Agregado a la canasta familiar, agravando el bienestar de las familias pobres y media, además de profundizar la inequidad de nuestro sistema tributario.






_______________________________________________________________________
Jorge Enrique Espitia
Foto obtenida de: Dataifx

Deja un comentario